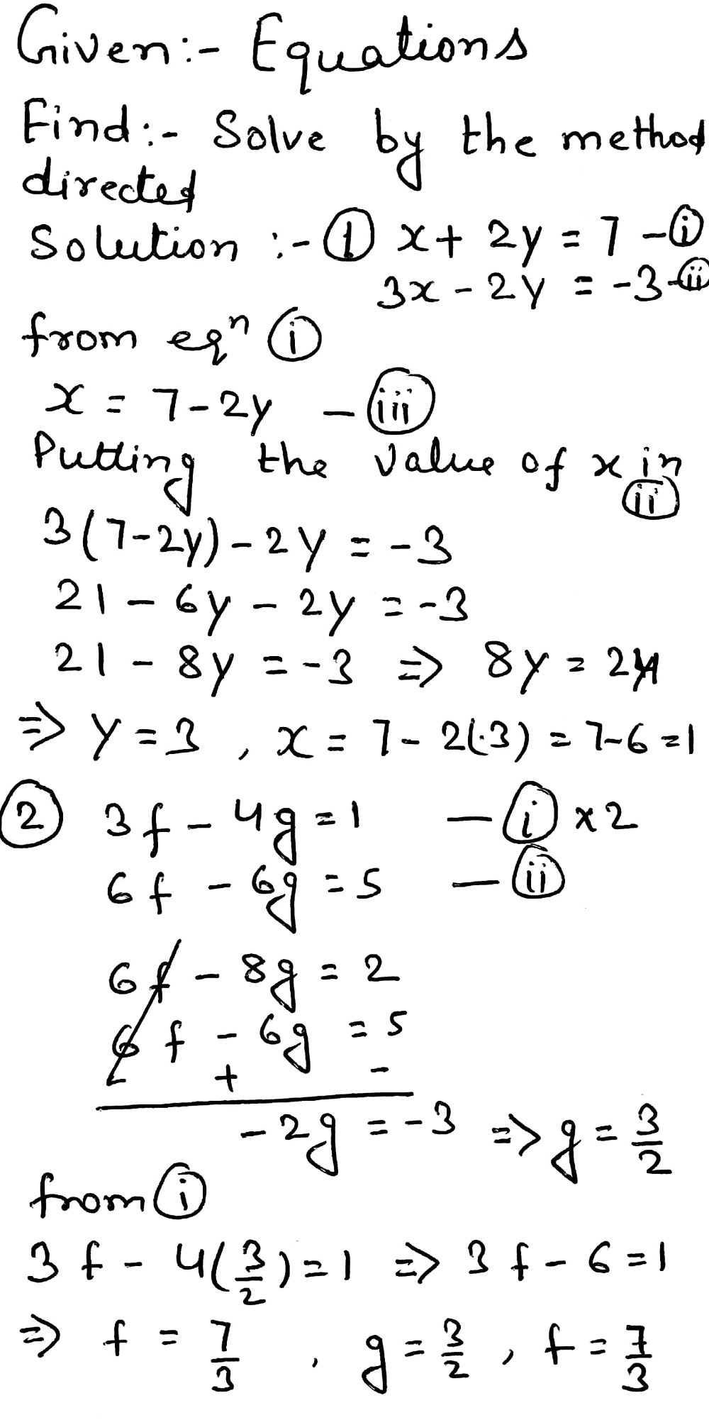
Substitution Method – Example Study the example below that shows how to use the substitution method in systems of equations Example Solve for x and y if 3x 2y = 4 and x 4y = 3 Answer x = 1 and y = 1/2 Step 1 Label the equations Label the equations A and B (A) 3x 2y = 4 (B) x 4y = 3 Step 2 Isolate one of the variablesY=2 Substituting y=2 in first equation 2x8*2= 2x=4 x=2 y=2 Transcript Ex 34 , 1 (Elimination) Solve the following pair of linear equations by the elimination method and the substitution method (ii) 3x 4y = 10 and 2x – 2y = 2 3x 4y = 10 2x – 2y = 2 We multiply equation (2) by 2 2(2x – 2y) = 2 × 2 4x – 4y = 4 Using elimination with equations (3) & (1) 7x = 14 x = 14/7 x = 2 Putting x = 2 in (2) 2x – 2y = 2 2(2) – 2y = 2 4 – 2y = 2
The Equations Of Four Lines Are Given X 2y 3 0 3x 4y 7 0 2x 3y 4 0 And 4x 5y 6 0 What Can Be Said About The Four Lines Quora
X+2y=3/2 2x+y=3/2 by substitution method
X+2y=3/2 2x+y=3/2 by substitution method-Solve by substitution x = 2 and 2x y = 1 (1, 2) solve by substitution y = 2x and x y = 3 Solve the system using any method y = 4x 1 y = x 2 3x y = 5 2 What is the value of the y coordinate of the solution to the system of equations x = 9 2y and x y = 3?The given linear system $$\begin{align} 2xy & = 13 \tag{Eq1} \\02 cm 5x 2y & = 10 \tag{Eq2} \\02 cm \end{align}\\ $$ We are using the substitution method to solve the given linear system



Solving Systems Of Linear Equations
Ans The benefit of using the substitution method is that this method gives us the exact values of the variables (preferably \(x\) and \(y,\) which coincide at the point of intersection Q5 Can the substitution method be used to solve the system of equations in three variables? Solve the following systems of equations x 2y = 3/2 2x y = 3/2 asked Apr 26 in Statistics by Haifa ( 234k points) pair of linear equations in two variables How do you solve #12y3x=1# and #x4y=1# using the substitution method?
SUBSTITUTION METHOD WORKSHEET HOMEWORK OUIZ 1) 2x 8y 2) x=5 2x y=10 3) 5x 2y 3 y=2x 4) 2y x=15 x=3y 5) 4x 7y 19 y=x9 6) y 6x 11 2y4x = 14 Get more help from Chegg Solve it with our algebra problem solver and calculatorSolve by Substitution x=y , x2y=3, Replace all occurrences of with in each equation Tap for more steps Replace all occurrences of in with Add and Divide each term by and simplify Tap for more steps Divide each term in by Cancel the common factor of Tap for more steps1 What is the value of the y coodinate of the solution to the
The steps to apply or use the substitution method are given below Let us assume two linear equations 2x3(y5)=0 and x4y2=0 Step 1 Simplify the given equation by expanding the parenthesis if needed So, here we can simplify the first equation to get 2x 3y 15 = 0 Solve the system of equations using the substitution method x 2y = 2 x= – 4y Solve the system of equations using the substitution method x 2y = 2 x= – 4y Categories Mathematics Leave a Reply Cancel reply Your email addressX2y=2 y=2x4 Solve by substitution Disclaimer The questions posted on the site are solely user generated, Doubtnut has no ownership or control over



Example 7 Solve By Substitution 7x 15y 2 X 2y 3



Example 7 Solve By Substitution 7x 15y 2 X 2y 3
Are solved by group of students and teacher of Class 10, which is also the largest studentWhich method is best for solving y = x 2 and y = x 4 substitution Which method is best for solving y = x 4 and 4x 6y = 10 x y = 3, 2x 2y = 6 no solution x y = 3, 2x 2y = 4 (2, 1) x y = 1, x y = 3 (5, 6) solve by substitution x = 2 and 2x y = 1 (1, 2) solve by substitution y = 2x and x y = 3Solve by Addition/Elimination x2y=3 2x3y=9 x − 2y = 3 x 2 y = 3 2x − 3y = 9 2 x 3 y = 9 Multiply each equation by the value that makes the coefficients of x x opposite (−2)⋅ (x−2y) = (−2)(3) ( 2) ⋅ ( x 2 y) = ( 2) ( 3) 2x−3y = 9 2 x 3 y = 9 Simplify Tap for more steps Simplify ( − 2) ⋅ ( x − 2 y



Elimination Method Day 1 Ppt Download



Level U 2 3x 7y 10 0 Y 2x 3 0 Solde The Following Systems Of Equations 1 11x 15y 23 0 7x 2y
2x3y=,x2y=3 2 x 3 y = 2 0, x − 2 y = 3 You can apply the Lagrange multiplier method L = c 1 x c 2 y Substitute 2 for y in x2y=3 Because the resulting equation contains only one variable, you can solve for x directly x4=3 Multiply 2 times 2 x=7Web & Mobile subscription; 3 Solve the simultaneous equations x² y² = 34 x – y = 2 math solve the following pair of simultaneous equation 5x2y=14, 2x2y=14 Mathematics Use Elimination Method To Solve This Simultaneous Equation 5V=113U 2U7V=3



Solve For X And Y X 2 2y 3 1 X Y 3 3 Sarthaks Econnect Largest Online Education Community



Given The Four Lines With The Equations X 2y 3 0 3x 4y 7 0 2x 3y 4 0 4x 5y 6 0 Then Youtube
This discussion on Solve using substitution method 3x/25y/3=2 , x/2 y/2=13/6?ans x=2,y=3?3x 9y = 3 (1) Divide both sides by 3, you get x 3y = 1 (1) 2x 6y = 2 (2) Divide both sides by 2, you get x 3y = 1 (2) You can see that (1) and (2) represent the same equation of a line, and for any real value of x, there is one a X/22y/3=1 and xy/3=3 solve by elimination method Get the answers you need, now!



X 2y 3 2 2x Y 3 2 Solve This Equation Using Substitution Method Brainly In



X 2 2y 3 1 Amp X Y 3 3 Solve By Eliminations Or Substitution Method Brainly In
Solve the system 2xy=2,3x2y=5 algebraically (1) Method I;Substitution Solve the first equation for y 2xy=2 Subtract 2x from each side to get y=2x2 Now substitute this expression for ySteps for Solving Linear Equation 2x=32y 2 x = 3 − 2y Swap sides so that all variable terms are on the left hand side Swap sides so that all variable terms are on the left hand side 32y=2x 3 − 2y = 2 x Subtract 3 from both sides Subtract 3 from both sides



Solve The Following Systems Of Equations 1 2 X 2y 5 3 3x 2y 3 2 5 4 X 2y 3 5 3x 2y 61 60 Sarthaks Econnect Largest Online Education Community



Solve The Following Pairs Of Linear Equations By The Substitution Method 3x 2 5y 3 2 X 3 Y 2 13 6 Sarthaks Econnect Largest Online Education Community
Substitution method x2y=2x5, xy=3 en Related Symbolab blog posts High School Math Solutions – Systems of Equations Calculator, Elimination A system of equations is a collection of two or more equations with the same set of variables In this blog post, Now we will use the substitution method to solve ==> x^2 y^2 = 13 ==> x^2 ( 5x)^2 = 13 ==> x^2 25 10x x^2 = 13 x2y = 5 2xy = 3 5 Educator answers Math Latest answer postedQuestion Solve the system using the substitution method x 2y = 6 3x 2y = 2 This is what I did 3x 2y = 2 x = 2y 3 _____ (2y 3) 2y = 6 = 2y 2y = 3 _____ y= 3 _____ x = 2y 3 x= 2 (3) 3 x = 9 I checked my solution and it was wrong I don't know where I messed up Answer by jerryguo41(197) (Show Source)



Rd Sharma Class 10 Solutions Maths Chapter 3 Pair Of Linear Equations In Two Variables Exercise 3 3



Show Graphically The System Of Linear Equations X 2y 3 And 4x 3y 2
substitution method for 5x2y=8 and 2xy=3 0 votes need to solve by substitution method the following linear equations 5x2y=8 and 2xy=3 systemofequations;Click here 👆 to get an answer to your question ️ solve the system of linear equation by substitution method x2y3 and 2x3y=8 noyee3 noyee3 2 minutes ago Math Secondary School answered Solve the system of linear equation by substitution method x2y3 and 2x3y=8 12x – 3y = 11 (2) We shall eliminate x by substituting its value from one equation into the other from equaton (1), we get x y = 7 ⇒ x = 7 – y Substituting the value of x in equation (2), we get 2 × (7 – y) – 3y = 11 ⇒ 14 – 2y – 3y = 11 ⇒ –5y = – 3 or, y = 3/5 Now, substituting the value of y in equation (1), we



Solve 2x 3 2 Frac D 2y Dx 2 2x 3 Frac Dy Dx 12y 6x Mathematics Stack Exchange



1 Use The Method Of Substitution To Solve The Fo Gauthmath
Which method do you use to solve the system of equations #y=1/4x14# and #y=19/8x7#? Transcript Example 7 Solve the following pair of equations by substitution method 7x – 15y = 2 x 2y = 3 7x – 15y = 2 x 2y = 3 From (1) 7x – 15y = 2 7x = 2 15y x = (𝟐 𝟏𝟓𝒚)/𝟕 Substituting the value of x in (2) x 2y = 3 (2 15𝑦)/7 2𝑦=3 Multiplying both sides by 7 7 × ((2 15𝑦)/7) 7×2𝑦=7×3 (2 15y) 14y = 21 15y 14y = 21 – 2 29y = 21 – 22y 5x = 3 y 2x = 0 Solve by Substitution // Solve equation 2 for the variable y 2 y = 2x // Plug this in for variable y in equation 1 1 5x 2• (2x) = 3 1 x = 3 // Solve equation 1 for the variable x 1 x = 3 // By now we know this much x = 3 y = 2x // Use the x value to solve for y y = 2(3) = 6 Solution {x, y} = {3, 6}



Solving Systems Of Linear Equations



Solve The Following Systems Of Equations 1 2 X 2y 5 3 3x 2y 3 2 5 4 X 2y 3 5 3x 2y 61 60 Sarthaks Econnect Largest Online Education Community
Aubrey is using the substitution method to solve the following system of equations y − x = 21 2y = 2x 16 She arrives at an answer of 8 = 21 She thinks that this answer means that the lines are parallel and that the system has no solutionIs done on EduRev Study Group by Class 10 Students The Questions and Answers of Solve using substitution method 3x/25y/3=2 , x/2 y/2=13/6?ans x=2,y=3?OSMBOY OSMBOY Math Secondary School answered Find k if the equation x 2y 22=0, x3y32= 0,2xy z = 0 have only trivial solution gm guys kise ho have a



Ncert Class 10 Mathematics Chapter Wise Questions And Answers And Solutions



Q Tbn And9gcr9tapk0fhcoqz1xt Ehclh8n0ldpr7l2zx8ym Lwpejamaz6ty Usqp Cau
Solve by substitution method x 2y = 1 and 2x 3y = 12 ⇒ x 2y = – 1 (i) ⇒ 2x – 3y = 12 (ii) ⇒ x = – 1 – 2y (iii) Here, x = 3 and y = – 2 Hence, the solution of the given equation is x = 3, y = – 2 What is the solution to 2x5y=1 and 3x2y=11 by using elimination method MaTh = Algebra = help Solve this system of linear equaiton by an algebraic method So If I had to solve this the elimination method way, how would I do it?Notebook (Unlimited storage) Personalized practice problems;



Ex 3 6 1 I And Ii Solve 1 2x 1 3y 2 1 3x 1 2y



6 2 Solving Systems Of Linear Equations 455 We Have Chegg Com
2x 3y = 3 and x 2y =2 solve this system of equations by using the substitution method 5x3y=11 (1) and 3x22y=1 (2)Algebra > Coordinate Systems and Linear Equations > SOLUTION Solve the system by substitution y=2x3 y=x2 Log On Linear Solvers Linear Practice Practice Answers archive Answers Word Problems Word Lessons Lessons In depth In Click here to see ALL problems on Linearsystems;Solution Solution provided by AtoZmathcom Substitution Method Solve Linear Equation in Two Variables Solve linear equation in two variables 1 12x 5y = 7 and 2x 3y 5 = 0 2 x y = 2 and 2x 3y = 4 3 7y 2x 11 = 0 and 3x y 5 = 0



3 2 Warm Up Solve The System Graphically 4x 2y 8 X Y 1 5 4 3 2 5 4 3 2 X 2y 8 4x 2y 4x 8 Y 2x 4 X Ppt Download



Example 7 Solve By Substitution 7x 15y 2 X 2y 3
Substitution x2y=2x5, xy=3 en Related Symbolab blog posts High School Math Solutions – Systems of Equations Calculator, Elimination Please try again using a different payment method Subscribe to get much more Full access to solution steps;Asked in ALGEBRA 1 by linda Scholar Share this question Google Facebook Twitter LinkedIn Reddit2x=23y by substitution method



Ex 3 4 1 I Class 10 Solve By Elimination And Substitution



X 2 2y 3 1 X Y 3 3 Solve The Given Equation Using Elimination And Substitution Method Youtube
What are the 2 numbers if the sum is 70 and they differ by 11?Question Resolve Using The Substitution Method X 3y = 1 2 A 3b = 5 3 Y = 3x – 14 4 X – 1/2y = 2 Y= X 1 2a– B = 3 X = Y Y = 2x – 4 RESOLVE Using The Sum Method(Elimination) –x Y = 4 4 2y 4z = 6 X – 2y = 6 X Y 2z = 0 2x Y Z =4 3p – 2q = 1 5 2x 2y – Z = 2 2p 5q = 7 3x 4y Z = 4 5x – 2y – 3z = 5 3x – 4y = 5First, you look at what your second equation was and you fix it (There's got to be an equal sign in there somewhere) Then you take one of the equations and write it as either x = or y = If you look at your first equation



How Do You Solve X 2y 6 And X Y 2 Socratic



1 Solve The Following Using Graphical Method 12 Chegg Com
X2y = 10 3xy = 0 math elimination methodAnswer to Solve the system of equations by the substitution method y = 12x 38;Solve by Substitution // Solve equation 3 for the variable x 3 x = 2y 9z 8 // Plug this in for variable x in equation 1 1 3•(2y9z8) y z = 3 1 7y 28z = 21 // Plug this in for variable x in equation 2 2 2•(2y9z8) 8y z = 5 2 4y 17z = 21 // Solve equation 1 for the variable y



Solve 3x 4y 10 2x 2y 2 By The Method Of Elimination



Math 163 Online Problems Supplemental Lessons On Gaussian
2x −y = 3 x 2y = 24 Substitution is a method for solving algebraic equations by finding the value of a variable in terms of other variables and substituting that value into existing equations x = 24 − 2y Substituting 24 −2y for x in the first equation 2(24− 2y) −y = 3 48 −4y − y = 3 5y = 48 −33x/2 5y/3 = 2 and x/3y/2=13/6 Solve using substitution methodY = 05x 299 By signing up, you'll get thousands of



Solve The Following Pair Of Linear Equation By Substitution Method 2x 3y 19 And 3x 2y 21 Brainly In



How To Solve Simultaneous Equations Using Substitution Method
Original problem is differential equation dy/dx= (x2y)/ (3y2x) This is part of solving differential equation x (dv/dx) = (14v3v^2)/ (3v2) so one way of solving, I take out the negative sign x (dv/dx) = ( (3v^24v1)/ (3v2)) , separate and bring over ∫ ( (3v2)/ (3v^24v1)) dv = ∫1/x dx which gets me (1/2)ln (3v^24v1)=lnAnswer to SUBSTITUTION METHOD WORKSHEET 1) 2x 8y = 2) x = 5 y = 2 2xy= 10 3) 5x 2y =3 4) 2y x=15 y = 2x x = 3y 5) 4x 7y = 19 6) y = 6x 11 y = (1) 2x8y= ;Click here👆to get an answer to your question ️ Solve 3x 4y = 10 and 2x 2y = 2 by substitution method Join / Login > 10th > Maths > Pair of Linear Equations in Two Variables > Algebraic Methods of Solving a Pair of Linear Equations > Solve 3x 4y = 10 and 2x maths Solve 3 x 4 y = 1 0 and 2 x − 2 y = 2 by substitution method



X 2y 3 2 And 2x Y 3 2 By Elimination Method Brainly In



Rd Sharma Solutions For Class 10 Updated For 21 22 Chapter 3 Pair Of Linear Equations In Two Variables
Find an answer to your question Solve {y=x−63x2y=8 Use the substitution method A) (0, −6) B) (3, −3) C) (4, −2) D) (14, 8)



Ex 4 6 10 Solve Using Matrix Method 5x 2y 3 3x 2y 5 Ex 4 6



1 Topic The Substitution Method 2 Topic The Substitution Method California Standard 9 0 Students Solve A System Of Two Linear Equations Ppt Download



X 2y 3 2 And 2x Y 3 2 Solution By Substitution



Solve The Following Systems Of Equations X 2y 3 2 2x Y 3 2 Sarthaks Econnect Largest Online Education Community



Solve 2x Y 5 And 3x 2y 8



If 2x 3 Y 2 1 6 0 And X 2 2y 3 3 Then



What Is The General Solution Of The Differential Equation 2x 2y 3 Dy Dx X Y 1 Quora



Systems Of Equations And Matricies



Find The Value Of X And Y By Elimination Method Or Gauthmath



How To Solve This Equation Simultaneously While Show Your Working 2x Y 11 5x 3y 29 Quora



3x 2 5y 3 2 And X 3 Y 2 13 6 Solve Using Substitution Method Youtube



Solve By Substitution Method 3x 5y 1 And 2x Y 3 Scholr



X 2y 3 2 And 2x Y 3 2 Solution By Substitution



Solving Systems Of Equations Ppt Video Online Download



What Is The Answer Of 2x Y 3 7x 3y 4 Using Gauss Elimination Method Quora



2x 3y 8 X 2y 3 0 By Substitution Method Brainly In



Solve The Following System Of Linear Equations By Matrix Method X Y Z 3 2x Y Z 2 X 2y 3z 2 Youtube



R D Sharma Solutions Class 10th Ch 3 Pair Of Linear Equations In Two Variables Exercise 3 3



7 Y 3 2 X 2 14 4 Y 2 3 X 3 2 Youtube



Using The Substitution Method To Solve A System Of Equations



Graph Graph Inequalities With Step By Step Math Problem Solver



R D Sharma Solutions Class 10th Ch 3 Pair Of Linear Equations In Two Variables Exercise 3 3



Solve For X And Y X Y 8 2 X 2y 14 3 3x Y 12 11 Sarthaks Econnect Largest Online Education Community



The Equations Of Four Lines Are Given X 2y 3 0 3x 4y 7 0 2x 3y 4 0 And 4x 5y 6 0 What Can Be Said About The Four Lines Quora



9 Quant 2 Equations And 2 Variables Flashcards Quizlet



The Substitution Method



Mathpowerblog How To Do The Math



Search Q X 2 2b2y 3 3d 1 And X Y 3 3d3 By Elimination Method And Substitution Method Tbm Isch



Systems Of Equations With Substitution 2y X 7 X Y 4 Video Khan Academy



Cbse 10 Math Cbse Linear Equations In Two Variables Ncert Solutions



Answered 2 Using The Substitution Method Ken Bartleby



2x 3y 2 X 2y 8 Solve Using Substitution Method Youtube



R D Sharma Solutions Class 10th Ch 3 Pair Of Linear Equations In Two Variables Exercise 3 3



Solve The Following Pairs Of Linear Equations By The Elimination Method And The Substitution Method Ii X 2 2y 3 1 And X Y 3 3 Sarthaks Econnect Largest Online Education Community



Solved Solve The System Using The Elimination Method X Chegg Com



21 Solve The Linear Equations 2x Y 5 And 3x 2y 1 Using Substitution Method22 Check Whether 150 Is A Brainly In



Solve The Following Simultaneous Linear Equations Gauthmath



Solve X 2y 1 2x Y 7 Maths Questions



Solve By Substitution Method 3x 5y 1 And 2x Y 3 Scholr



Solve For X And Y 2 3x 2y 3 3x 2y 17 5 5 3x 2y 1 3x 2y 2



X 2 2y 3 1 And X Y 3 3 Find X And Y Values Using Elimination And Substitution Method Youtube



123a Ppt All 2



X 2y 3 2 2x Y 3 2 Solve This Equation Using Substitution Method Brainly In



7x 15y 2 X 2y 3 Solve Using Substitution Method Youtube



1



Solve The Following Simultaneous Linear Equation By Substitution Method 2x 3y 4 3 5x 2y 7 0 Brainly In



Exercises Use The Substitution Method To Solve Each Chegg Com



Web Gccaz Edu Johwd Mat150 Chapter8 Solutions Section 8 1 solutions Pdf



Solve The Following Pairs Of Linear Equations By The Substitution Method 3x 2 5y 3 2 X 3 Y 2 13 6 Sarthaks Econnect Largest Online Education Community



1 Use The Method Of Substitution To Solve The Fo Gauthmath



Ex 3 4 1 I Class 10 Solve By Elimination And Substitution



Q Tbn And9gct6o5vusufzkilzfnwo35olsue8wj 4gltxsbi0dmbacomodnxm Usqp Cau



Ex 3 3 1 I Solve By Substitution X Y 14 X Y 4 Video



Solve For X And Y Using Substitution Method 2x Y 7 4x 3y 1 0



Solve For X And Y 5 X 3 Y 1 3 2x 2 3y 5 Sarthaks Econnect Largest Online Education Community



Ncert Solutions Class 10 Maths Chapter 3 Pair Of Linear Equations In Two Variables Ship Hang Nhanh



If 3x 2y 5 And 3y 2x 3 Then Find The Value Of X Y Scholr



Chapter 5 Review Exercises



Rd Sharma Class 10 Solutions Maths Chapter 3 Pair Of Linear Equations In Two Variables Exercise 3 3



1 2 X 2y 5 3 3x 2y 3 2 5 4 X 2y 3 5 3x 2y 61 60 Respected Teachers Please Find The Value Of X And Y Mathematics Topperlearning Com 5qbsqgee



Ch4 Systems Of Linear Equations Y X Y X Y X Y X 3 Consistent Y 2 3 X 2 Independent Equations One Solution X Y Y X 3 Y X 2 Inconsistent Ppt Download



Ex 3 4 1 I Class 10 Solve By Elimination And Substitution



Solve For X And Y X 2 2y 3 1 X Y 3 3 Sarthaks Econnect Largest Online Education Community



R D Sharma Solutions Class 10th Ch 3 Pair Of Linear Equations In Two Variables Exercise 3 3



X 2 2y 3 1 And X Y 3 3 Solve By Elimination Method Brainly In



Solve The Pair Of The Following Equation By Substitution Method A 3x 2 5y 3 2 X 3 Y 2 13 6 Maths Pair Of Linear Equations In Two Variables Meritnation Com



Solving Linear Systems By Substitution Lesson 3 2



Solve For X By Substitution Method 7x 15y 2 And X 2y 3 Brainly In



X 4 2 3 And 2x Y 7 Solve By Elimination Method Edurev Class 10 Question



Simultaneous Equations 1 Ppt Download



The Substitution Method



Solve The Following Pair Of Linear Equations By Substitution Method 2x 3y 19 And 3x 2y 21


0 件のコメント:
コメントを投稿