Question 6 Find and correct the errors in the statement 3x 2x = 5x 2 Answer LHS = 3 x 2 x = 5 x ≠ RHS The correct statement is 3 x 2 x = 5 x Factorise 25 (xy)^236 (x2y)^2 Share with your friends Share 2 Follow 2 Priyanka Kedia, Meritnation Expert added an answer, on 28/2/16 Priyanka Kedia answered this 25 x y 2 36 x 2 y 2 = 5 x y 2 6 x 2 y 2 = 5 x y 6 x 2 y 5 x y 6 x 2 y = 5 x 5 y 6 x 12 y 5 x 5 y 6 x 12 y = 17 y x 11 x 7 y Hence, 25 xConsider x 2 y 2 x y − 2 2 x y as a polynomial over variable x Find one factor of the form x^ {k}m, where x^ {k} divides the monomial with the highest power x^ {2} and m divides the constant factor y^ {2}y2 One such factor is xy1 Factor the polynomial by dividing it by this factor
Factorise 2 2x 5y 3x 4y 6 2x 5y X Y Mathematics Topperlearning Com Gf0zbwll
Factorise (x-2)^y-6(x-y)+5
Factorise (x-2)^y-6(x-y)+5-Factorise \(x^2 7x 10\) To factorise this expression, find two numbers that have a product of 10 and a sum of 7 There are two of ways of making 10 by multiplying two whole numbersSolutionShow Solution 3 5x 5y 12 (x y) 2 = 3 5 ( x y ) 12 (x y) 2 Let us assume that x y = a Then the given expression is 3 5x 5y 12 (x y) 2 = 3 5a 12a 2 = 3 9a 4a 12a 2 = 3 ( 1 3a ) 4a ( 1 3a )



Factorise The Expression 3 X Y 5 X 6 Y 10 Maths Algebraic Expressions And Identities Meritnation Com
Such that, a 2 2ab b 2 = x 2 2(x)(y) 5 2 x 2 2(x)(y) 5 2 = (x 5) 2 Therefore, the factors of x 2 10x 25 are (x 5) and (x 5) For example 4 Factorise 9x 2 – 25y 2 Above algebraic expression 9 x 2 – 25 y 2 matches with the form of identity a 2 – b 2 Where, a = 3 x and b = 5 y Such that, a 2 – b 2 = (3 x) 2 – (5 2(xy) To find the answer above, look at the question (2x 2y), and see what the common factors are In this case, it is "2", which is present in(x^2x) y^2y(x^2x) It is Quadratic equation in y of form a*y^2b*yc Here, a= x(x1) , b= 1 , c= x(x1);
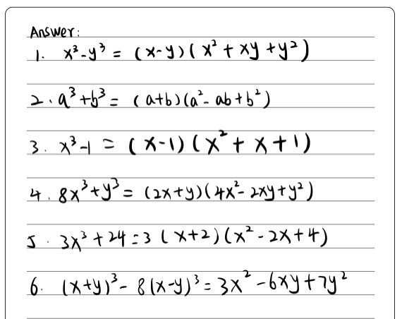
RD Sharma Class 9 Solutions Chapter 5 Factorisation of Algebraic Expressions VSAQS RD Sharma Class 9 Solutions Chapter 5 Factorisation of Algebraic Expressions MCQS Factorize each of the following expressions Question 1 p 3 27 Solution We know that a 3 b 3 = (a b) (a 2 – ab b 2) a 3 – b 3 = (a – b) (a 2 aft b 2) p 3 21Factorisation is the opposite process of expanding brackets For example, expanding brackets would require 2(x 1) to be written as 2x 2 Factorisation would be to start with 2x 2 and end up with 2(x 1) The two expressions 2(x 1) and 2x 2 are equivalent;(5x)^2 2(5x)(y/5) (y/5)^2, which is in form a^22abb^2 with a=5x, b=y/5 this factors into (ab)^2, or (5xy/5)^2 For the second, since the initial coefficient is 1, look for factors of 3 that add to 4 (in this case 3, 1), so it factors into (x1)(x3)
x^6 y^6 this is the sum of two cubes Firsttake the cube root of both things = x^2 and y^2 write them in parentheses with a plus between them Thenin the next set of parentheses, write the square of the first thing above, then write the opposite sign of the one in the first set of parentheses2 (5) x 1 y (6) (x y x y −)( ) (7) ( )a x y −2 22( )3 (8) 5( )2 a b ab − − 2 7 3a (9) xyz2 1 (10) 1 3 2− −xx x( )( )2 (11) 3 1 2 8 y x − − (12) ( ) 1 3 a b xx − Les trois méthodes de factorisation qu'il faut connaître sont la mise en évidence, les produits (identités) remarquables et le groupement de termes2x =2× x 4 =2 × 2 Hence 2x 4 = (2 × x) (2 × 2) Notice that factor 2 is common to both the terms



Factorising



How To Factorise
En mathématiques , la factorisation (ou factorisation , voir les différences orthographiques en anglais ) ou la factorisation consiste à écrire un nombre ou un autre objet mathématique comme un produit de plusieurs facteurs , généralement des objets plus petits ou plus simples du même typePar exemple, 3 × 5 est une factorisation de l' entier 15 , et ( x 2) ( x 2) est uneFactorcalculator x^{2}x6 es Related Symbolab blog posts Middle School Math Solutions – Polynomials Calculator, Factoring Quadratics Just like numbers have factors (2×3=6), expressions have factors ((x2)(x3)=x^25x6) Factoring is the process Factorisex^6 729 y^6 math Cn someone factorise 3a^221a24 Math Factorise X'29X 14 Algebra Factorise(xyz)^3 (xyz)^3 8x^3 Maths Factorising please help right now Factorise (x 1)^2 4y^2 maths factorise a^12x^4a^4x^12



15 Factorise 0 X3 8y3 1 6xy I 27a3 8b3 1 18ab I Scholr



Unit 8 Section 3 Common Factors Factorising
Click here 👆 to get an answer to your question ️ x³y³xx²y³ factorise it tanveermir18 tanveermir18 Math Secondary School X³y³xx²y³ factorise it 2Where a!=0 Solutions to this equation are, y= b(b^2 4ac)/2a, y= b(b^2 4ac)/2In mathematics, factorization or factoring consists of writing a number or another mathematical object as a product of several factors, usually smaller or simpler objects of the same kind For example, 3 × 5 is a factorization of the integer 15, and is a factorization of the polynomial x2 – 4 Factorization is not usually considered meaningful within number systems possessing division,



R D Sharma Solutions Class 7 Math Chapter 7 Algebraic Expressions Exercise 7 2



Unit 8 Section 3 Common Factors Factorising
Question Suggestion Solution Solution Factorise completely (xy)6 −(x−y)6 ( x y) 6 − ( x − y) 6 Since 6 =2×3 6 = 2 × 3, we can think of this expression as ((xy)2)3 −((x−y)2)3 ( ( x y) 2) 3 − ( ( x − y) 2) 3 or as ((xy)3)2 −((x−y)3)2 ( ( xBest answer Let `p(x,y)=x^(5)y^(5)` Put =y `therefore p(y,y)=(y)^(5)y^(5)=y^(5)y^(5)=0`Concise Selina Solutions for Class 9 Maths Chapter 5 Factorisation Exercise 5(A) Page 68 Factorise by taking out the common factors 1 2(2x 5y)(3x 4y) 6(2x 5y) (x y) Solution Taking (2x 5y) common from both terms = (2x 5y)2(3x 4y) 6(x y) =(2x 5y)(6x 8y



Can Someone Pls Answer These Question Factorise 1 16a2 72a 81 2 2xy 2y 3x 3 3 P2 Qr Pq Pr 4 Y2 14y 49 5 X2 Xz Xy Yz 6 A33a2 A 3 7 6pq Q2 12pr 2qr 8 Xy Pq Qy Px 9 6xy 4y 6 9x 10 Pq Mn Pn Mq Maths Factorisation Meritnation Com



Ex 2 5 3 Factorise Following Using Appropriate Identities
Simple and best practice solution for xy=6;xy=2 Check how easy it is, to solve this system of equations and learn it for the future Our solution is simple, and easy to understand, so don`t hesitate to use it as a solution of your homework If it's not what You are looking for type in the system of equations solver your own equations and let usThey have the same value for all values of x3x(x 2 2x – 5) Content Continues Below Factor 26 x sqrt9 y 3 – 13 y sqrt4 x 2 y xy sqrt169 x 4 y 3 , assuming that all variables are nonnegative



Factorize 8x 3 Y 3 12 X 2y 6x Y 2



Systems Of Equations With Substitution Y 5x 8 10x 2y 2 Video Khan Academy
Factorise x^2y^2 If playback doesn't begin shortly, try restarting your device An error occurred Please try again later (Playback ID oh_3luDv3iEF1wo) Videos you watch may beSolution Steps x ^ { 2 } x y 6 x 6 y x 2 x y 6 x 6 y Do the grouping x^ {2}xy6x6y=\left (x^ {2}xy\right)\left (6x6y\right), and factor out x in the first and 6 in the second group Do the grouping x 2 x y 6 x 6 y = ( x 2 x y) ( 6 x 6 y), and factor out x in the first and 6 in the second groupThis is what we shall do now 1421 Method of common factors • We begin with a simple example Factorise 2x 4 We shall write each term as a product of irreducible factors;



Factorise The Following Using Appropriate Identities 9x2 6xy Y2 4y2 4y 1 X2 Y2 100 Youtube



Math 432 Hw 2 5 Solutions Pdf Free Download
Maximize 5 3x 4y x^2 x y y^2 WolframAlpha Have a question about using WolframAlpha? Step 1 We check if y2 is multiplied by 1 y2 – 5y 6 Step 2 Writing y2 – 5y 6= (y – a) (y – b) So, ab = Constant term = 6 We find factors ofWe know the identity a3 −b3 = (a−b)(a2 b2 ab)Using the above identity, the equation x6 −y6 can be factorised as followsx6 −y6 = (x2)3 −(y2)3 = (x2 −y2)(x2)2 (y2)2 (x2 ×y2)= (x−y)(xy)(x2 y2 xy)(x2 y2 −xy)(using identities a2 −b2 = (ab)(a−b) and a4 b4 a2b2 = (a2 b2 ab)(a2 b2 −ab) )Hence, x6 −y6 = (x−y)(xy)(x2 y2 xy)(x2 y2



Mathematics Class 9th Chapter 4 Solution



Factorize 2 X Y 2 9 X Y 5 Sarthaks Econnect Largest Online Education Community
Expert Answer The correct expression should be 5 (3x y) 2 6 (3x y) 8 It can be factorised as follows Let (3x y) = z Then, the expression becomes 5z 2 6z 8 = 5z 2 10z 4z 8 = 5z (z 2) 4 (z 2)Factorise X^2 1/X^2 3 CISCE ICSE Class 9 Question Papers 10 Textbook Solutions Important Solutions 5 Question Bank Solutions Concept Notes & Videos & Videos & Videos 240 Syllabus Advertisement Frank Solutions for Chapter 5 Factorisation Class 9 Mathematics ICSE



Ex 14 1 3 Ii Factorise 15 Xy 6x 5y 2 Ex 14 1



Cbse 8 Math Cbse Factorization Ncert Solutions
Factorisation Factorise aussi complètement que possible les expressions suivantes ∇∇∇EXERCICE 1 1)2x2 −4x −16 2) x2 3x −28 3) x2 −16 4) 1 4 a6 −49 4 5)9a2 −49 6)0,01a2 −0,06ab4 0,09b8 ∇∇∇EXERCICE 2 1) x2 −6x −40 2) x2 −5x −84 3) x2 −625 4)3x2 −27 5) x2 −15x 36 6) x8 −1 ∇∇∇EXERCICE 3 1)49a5 −28a4b4a3b2 2)81a4x −16b4x 3)9a2 36a8 36a5 4Factorcalculator en Related Symbolab blog posts Middle School Math Solutions – Equation Calculator Welcome to our new "Getting Started" math solutions series Over the next few weeks, we'll be showing how SymbolabFactor x^2x6 x2 x − 6 x 2 x 6 Consider the form x2 bxc x 2 b x c Find a pair of integers whose product is c c and whose sum is b b In this case, whose product is −6 6 and whose sum is 1 1 −2,3 2, 3 Write the factored form using these integers (x−2)(x 3) ( x



What Should Be Taken Away From 3 X Square Minus 4 Y Square 5 X Y To Get Minus X Square Minus Y Brainly In



Factorize 8x 3 Y 3 12x 2y 6xy 2
Factor x^2y^2 x2 − y2 x 2 y 2 Since both terms are perfect squares, factor using the difference of squares formula, a2 −b2 = (ab)(a−b) a 2 b 2 = ( a b) ( aAlgebra Calculator is a calculator that gives stepbystep help on algebra problems See More Examples » x3=5 1/3 1/4 y=x^21 Disclaimer This calculator is not perfect Please use at your own risk, and please alert us if something isn't working Thank you Click here 👆 to get an answer to your question ️ factorise xy/xy=6/5 and xy/yx=6 shalinisharma shalinisharma Math Secondary School answered Factorise xy/xy=6/5 and xy/yx=6 1 See answer shalinisharma is waiting for your help Add your answer and earn points



Factorise The Expression 3 X Y 5 X 6 Y 10 Maths Algebraic Expressions And Identities Meritnation Com



X Y 2 6 X Y 5 Factorise It Brainly In
Share It On Facebook Twitter Email 1 Answer 0 votes answered by Lohith01 (970k points) selected by Dhruvan Best answer Given expression `x^(2)6xy^(2)9` Here, `x^(2)6x9` is perfect square (xy3)(xy3)Factorising Factorising is the reverse of expanding brackets, so it is, for example, putting 2x² x 3 into the form (2x 3) (x 1) This is an important way of solving quadratic equations The first step of factorising an expression is to 'take out' any common factors which the terms have So if you were asked to factorise x² x, sinceFactorise this equation x^23x10=0 The first stage is to calculate two numbers that multiply together to make the integer in the equation, in this example it's 10 The numbers are 5 and 2 Now these two number should both satisfy the signs ( and ) and add together to produce the number before the with the single x, in this case 3



Miysaintbar Be Miysaintbar Be Images Docpdf Mprpg76 Pdf



Www Sheffield Ac Uk Polopoly Fs 1 28 File Factorising Quadratics Cov Pdf
xy 26 xy 5 = xy 25 xyxy 5 = xy xy51 xy5 = xy5 xy1 Hence, xy 26 xy 5 = xy5 xy1How do i factorise 1)6a^2b^312a^4b 2)2m^29m5 maths factorise fully 2(xy)t(xy) maths factorise fully 5x^211x2 Math Please help Factorise fully 1 X^25x14 2 Ab^23b 3 A^38a^215a maths factorise fully18xsquared50ysquared maths factorise fullyxsquared11x18 Maths Fully factorise X^34x^2x6 I got (x3) as aWhich simplifies to \(x^2 5x 6\) Factorising is the reverse process of expanding brackets, so factorising \(x^2 5x 6\) gives \((x 2)(x 3)\) Example 1 Factorise \(x^2 7x 10\)



Reverse Distribution And Grouping Ppt Download



How To Factorise 3 X Y 2 2 X Y Quora



Maths X 3013b Factorization Factorise X 3 Y 3 6xy 8 And X 3 8y 3 1 6xy Youtube



Factoring Two Variable Quadratics Rearranging Video Khan Academy



2 Regroup The Following Terms And Factorise I 12 A B 8 B 6 9 A Ii 28 X 21 Y 8 X 2 6 X Y Iii 5 A B 3 A 10 B 6 I V 4 X 2 16 X Y 3 X 12 Y V 16 L 2 8 L 4 L M 2 M



Factorising



Cbse 8 Math Cbse Factorization Ncert Solutions



Factorize 2sqrt 2 X 3 3sqrt 3 Y 3 Sqrt 5 5 3sqrt 6 X Y



Factorise The Following X 6y 6 Xy Brainly In



Class Vii Worksheet 1 Division Mathematics Polynomial



Math 432 Hw 2 5 Solutions Pdf Free Download



Chapter 5 Factorisation Frank Modern Certificate Solutions For Class 9 Mathematics Icse Topperlearning



Factorise I 4x 2 9y 2 16 Z 2 12 X Y 24 Y Z 16 X Z Ii 2x 2 Y 2 2sqrt 2 X Y 4sqrt 2 Y Youtube



Draw The Graph For Each Of The Equation X Y 6 And X Y 2 On The Same Graph Paper And Find The Coordinates Of The Point Where The Two Straight Lines Intersect



Algebra Ppt Download



Factor Factor A Polynomial And Trinomial With Step By Step Math Problem Solver



Factorise 2 2x 3 3y 5 5 3 6xy Please As Fast As Possible Tomorrow Math Exam Maths Polynomials Meritnation Com



Mathematics 1 3 Factor Fully A 9x 18x 6x B Chegg Com



Cbse 8 Math Cbse Factorization Ncert Solutions



Reinforcement Exercise Factorisation 04 H 074 1 X Gauthmath



10 X Y 2 X Y 4 And 15 X Y 5 X Y 2 P S 1 4 Q2 Linear Equation In Two Variables Youtube



Factorise X6 Y6 Solve This Brainly In



Factorise By Taking Out The Common Factors Sqrt 2 2 X 5 Y 3 X 4 Y 6 2 X 5 Y X Y 2 X Y Left 3 X 2 2 Y 2 Right Y Z Left 2 Y 2 3 X 2 Right Z X Left 15 X 2 10 Y



2 X Y 2 9 X Y 5 Youtube



Factorise By Taking Out The Common Factors N1 2 2 X 5 Y 3 X 4 Y 6 2 X 5 Y



How To Solve For X And Y In X Y 5 And Xy 6 Quora



Factorize 8x 2 Y 3 12x 2y 6xy 2 Sarthaks Econnect Largest Online Education Community



Factorise The Following Using Appropriate Identities 9 X Square 6 X Y Y Square Brainly In



Class 9 Polynomial 2 Coordinate Geometry Linear Equation In Two Variables Euclid S Geometry Lines And Angles Notes



Selina Solutions Class 9 Concise Maths Chapter 5 Factorisation Download Free Pdf



Factorise X Y 2 7 X 2 Y 2 12 X Y 2 Youtube



Homework Factoring Factor The Following By Chegg Com



Factorise X 5 Y 5



Ex 14 1 2 Vi Factorise 5 X 2 Y 15 Xy 2 Chapter 14 Class 8



How To Solve For X And Y In X Y 5 And Xy 6 Quora



How To Solve For X And Y In X Y 5 And Xy 6 Quora



Factorize X Y 2 6 X Y 5 Brainly In



Factorise 2 2x 5y 3x 4y 6 2x 5y X Y Mathematics Topperlearning Com Gf0zbwll



Resolve Each Of The Following Quadratic Trinomials Into Factors



Miysaintbar Be Miysaintbar Be Images Docpdf Mprpg76 Pdf



Wa Doc 0511 F4e296 Pdf



Warm Up Factor X2 10x X2 16x 1 Multiply Ppt Video Online Download



Ncert Solutions For Class 8 Mathematics Chapter 14 Factorisation Solutions



How To Factorise 3 X Y 2 2 X Y Quora



Example 3 Factorise 6xy 4y 6 9x Chapter 14 Class 9 Teachoo



Cbse 8 Math Cbse Factorization Ncert Solutions



2 16 0 6 3 6 12 Example 9 Compute 4 5 1 5 Scholr



Factorise 25 X Square Y Square 9 Z Square 10 X Y 6 Y Z 30 X Z Brainly In



Ml Aggarwal Cbse Solutions Class 7 Math Fifth Chapter Algebraic Expressions Exercise 5 1



2 Math With Jm Home



F4 Simultaneous Equations Quadratic Equation Mathematical Sciences



Creating Brackets In This Powerpoint We Meet 5 Different Methods Of Factorising Type 1 Common Factor Type 2 Difference Of Two Squares Type 3 Ppt Download



Factorise X Cube Minus 2 X Square Y 3 X Y Square Minus 6y Cube Brainly In



2 Factorise Dfrac254x2 Dfracy See How To Solve It At Qanda



Ex 2 5 3 Factorise Following Using Appropriate Identities



Algebra Worksheet Junior Cert



R D Sharma Solutions Class 7 Math Chapter 7 Algebraic Expressions Exercise 7 2



Systems Of Equations With Substitution 9x 3y 15 Y X 5 Video Khan Academy



Find The Greatest Common Factor Gcf Hcf Of The Following Poly



Math 432 Hw 2 5 Solutions Pdf Free Download



2



Link Springer Com Content Pdf m 3a978 1 349 3 2f1 Pdf



In Edugain Com Pdf Samples In Grade 8 Factorisation In Pdf



Chapter 5 Factorisation Frank Modern Certificate Solutions For Class 9 Mathematics Icse Topperlearning



Factorise X Square 5 X Y 6 Y Square Brainly In



What Is The Factor Of 8x Y 12x Y 6xy Quora



2



Pin On Algebra



June 09 Paper 3 1a Walk Boy 15



Solutions To Implicit Differentiation Problems



Exercice 2 1 Factoriser Les Expressions Suivantes A 2 X 3 3 X 3 2 C 3xy 6 Nosdevoirs Fr



Factorise 6xy 4y 6 9x



Factorise Y 2 5y 6 By Using The Factor Theorem Youtube



2 Factorise Dfrac254x2 Dfracy See How To Solve It At Qanda



9 Factor Completely A 3x 2y 6xy 2 9xy B Ts Chegg Com



Rd Sharma Class 9 Chapter 5 Factorization Of Algebraic Expressions Free Pdf



Factorize Each Of The Following Algebraic Expressions 6x 2x



How To Factorise A Polynomial By Splitting The Middle Term A Plus Topper


0 件のコメント:
コメントを投稿